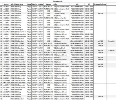
da ja viele Spekulationen über die Verkaufszahlen in Dänemark herrschen, habe mir mal die Zeit genommen und die 907 LHD EU-Fahrzeuge mit Dänischer Zulassung zusammengestellt. Hierbei sind erstmal alle Fahrzeuge die Online zu finden sind und dort (vermutlich ab 2005) an-/abgemeldet wurden. Werde dahingehend noch weiter nachforschen ob dort auch die vorher angemeldeten berücksichtigt werden.
Weiterhin werde ich über den Vorbesitzer versuchen die VIN's von Toyota Dänemark prüfen zu lassen, ob die Erstzulassung dort erfolgte. Ein Indiz ist die Typgenehmigungsnummer die bei 11 Fahrzeugen mit aufgeführt ist. Aktuell gehe ich davon aus das es sich dabei um 11 Dänische Erstzulassungen handelt (ggf. noch mehr vor der Digitalisierung) und die anderen 30 Fahrzeuge Importe sind.







